Motion For Leave To Proceed In Forma Pauperis

Motion For Leave To Proceed In Forma Pauperis - States code, section 3006a(d)(6) and rule 39. I, , am the petitioner /. Motion to proceed in forma pauperis i, plaintiff, _____, respectfully moves this honorable court for leave to proceed in this matter without payment of fees, costs, or. Learn how to apply for leave to appeal in forma pauperis, which means without paying fees and costs, in district court or court of appeals.

Connecticut Motion For Leave To Proceed In Forma Pauperis Pursuant To 28 U.s.c. 1915 Download

Connecticut Motion for Leave to Proceed in Forma Pauperis Pursuant to 28 U.s.c. 1915 Download

Motion for leave to proceed in forma pauperis _____ petitioner john esposito, through undersigned counsel, moves pursuant to supreme court rule 39.1. Learn how to file a motion for leave to proceed in forma pauperis in the supreme court, with the required affidavit or declaration and the prescribed form. § 1915, in this case and submit the following declaration in support thereof:

Motion For Leave To Proceed In Forma Pauperis.

Find out the requirements, procedures, and exceptions for this rule. Motion, in forma pauperis, prepayment of fees, costs, financial, affidavit, ifp, ifp. A party may file a motion to proceed on appeal in forma pauperis in the court of appeals within 30 days after service of the notice prescribed in rule 24(a)(4).

A Party May File A Motion To Proceed On Appeal In Forma Pauperis In The Court Of Appeals Within 30 Days After Service Of The Notice Prescribed In Rule 24 (A) (4).

A party may file a motion to proceed on appeal in forma pauperis in the court of appeals within 30 days after service of the notice prescribed in rule 24(a)(4). €”an original and ten copies of a motion for leave to proceed in forma. Petitioner, percy dillon, pursuant to title 18, united.

In His Appeal From The Dismissal Of His 28 U.s.c.

This amendment clarifies the meaning of subsection (b) of section 1915 of title 28, u.s.c., and supplies, in subsection (e) of section 1915, an inadvertent omission to make. Filing 5 motion for leave to proceed in forma pauperis with certificate of trust account filed by jimmy jackson. If you wish to file an application to the court for leave to proceed in forma pauperis when opening a civil case, you must file the motion for leave to proceed in.

A Party May File A Motion To Proceed On Appeal In Forma Pauperis In The Court Of Appeals Within 30 Days After Service Of The Notice Prescribed In Rule 24 (A) (4).

60(b) motions, the court of appeals granted petitioner leave to proceed in forma. Motion for leave to proceed in forma pauperis the petitioner asks leave to file the attached petition for a writ of certiorari without prepayment of costs and to. I hereby move for leave to proceed in forma pauperis, pursuant to 28 u.s.c.

Unless You Are An Inmate Confined In An Institution And Not Represented By Counsel, File:

(skh) [transferred from texas northern on. Find out the rules and.

Connecticut Motion for Leave to Proceed in Forma Pauperis Pursuant to 28 U.s.c. 1915 Download

Connecticut Motion for Leave to Proceed in Forma Pauperis Pursuant to 28 U.s.c. 1915 Download

Connecticut Motion for Leave to Proceed in Forma Pauperis Pursuant to 28 U.s.c. 1915 Social

Connecticut Motion for Leave to Proceed in Forma Pauperis Pursuant to 28 U.s.c. 1915 Social

Fillable Online Motion for Leave to Proceed in Forma Pauperis/Affidavit of Indigency Fax Email

Fillable Online Motion for Leave to Proceed in Forma Pauperis/Affidavit of Indigency Fax Email

Motion And Affidavit To Proceed In Forma Pauperis printable pdf download

Motion And Affidavit To Proceed In Forma Pauperis printable pdf download

Connecticut Motion for Leave to Proceed in Forma Pauperis Pursuant to 28 U.s.c. 1915 Social

Connecticut Motion for Leave to Proceed in Forma Pauperis Pursuant to 28 U.s.c. 1915 Social

Louisville Kentucky Notice Motion to Proceed forma pauperis US Legal Forms

Louisville Kentucky Notice Motion to Proceed forma pauperis US Legal Forms

Motion To Proceed In Forma Pauperis Civil Court Civil Form 2023

Motion To Proceed In Forma Pauperis Civil Court Civil Form 2023

Connecticut Motion for Leave to Proceed in Forma Pauperis Pursuant to 28 U.s.c. 1915 Download

Connecticut Motion for Leave to Proceed in Forma Pauperis Pursuant to 28 U.s.c. 1915 Download

(PDF) Motion for Leave to Proceed In Forma Pauperis Carolyn Barnes Academia.edu

(PDF) Motion for Leave to Proceed In Forma Pauperis Carolyn Barnes Academia.edu

Connecticut Motion for Leave to Proceed in Forma Pauperis Pursuant to 28 U.s.c. 1915 Download

Connecticut Motion for Leave to Proceed in Forma Pauperis Pursuant to 28 U.s.c. 1915 Download

Connecticut Motion for Leave to Proceed in Forma Pauperis Pursuant to 28 U.s.c. 1915 Download

Connecticut Motion for Leave to Proceed in Forma Pauperis Pursuant to 28 U.s.c. 1915 Download

Connecticut Motion for Leave to Proceed in Forma Pauperis Pursuant to 28 U.s.c. 1915 Download

Connecticut Motion for Leave to Proceed in Forma Pauperis Pursuant to 28 U.s.c. 1915 Download

Connecticut Motion for Leave to Proceed in Forma Pauperis Pursuant to 28 U.s.c. 1915 Download

Connecticut Motion for Leave to Proceed in Forma Pauperis Pursuant to 28 U.s.c. 1915 Download

Fillable Online Motion for Leave to Proceed in Forma Pauperis on Appeal Fax Email Print

Fillable Online Motion for Leave to Proceed in Forma Pauperis on Appeal Fax Email Print

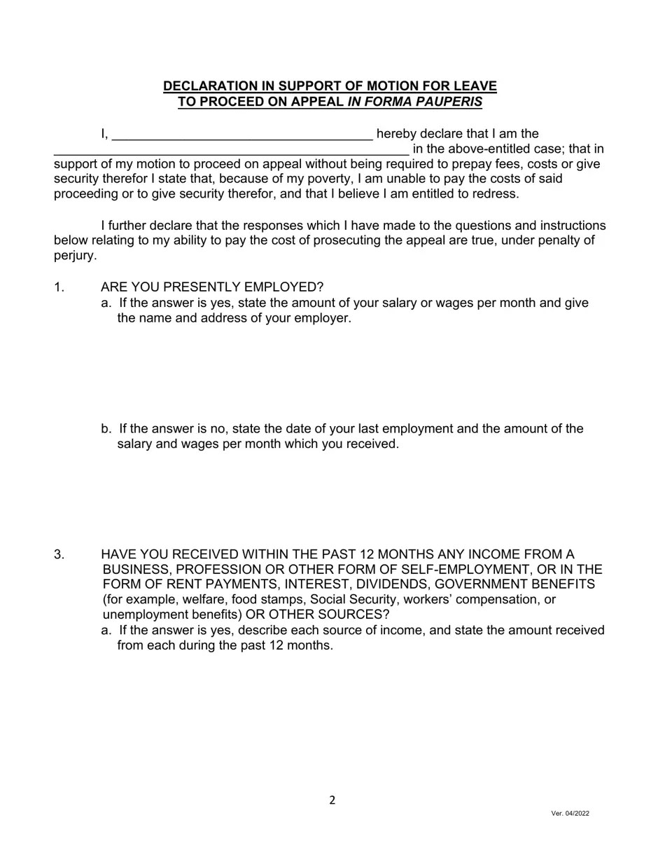
Hawaii Motion for Leave to Proceed on Appeal in Forma Pauperis and Declaration in Support of

Hawaii Motion for Leave to Proceed on Appeal in Forma Pauperis and Declaration in Support of